
27 грудня 2020, 13:53
27 грудня 2020, 13:53
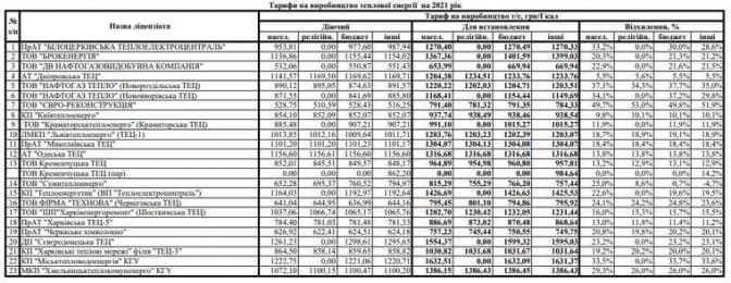
Нацкомісія з тарифів схвалила підвищення у 2021 році тарифів на виробництво теплової енергії для населення, бюджетних та релігійних організацій та інших споживачів для 23 ТЕЦ і когенераційних установок. Про це повідомляє Громадське з посиланням на документи НКРЕКП.
Найменше підвищення буде у Дніпровської ТЕЦ (5,5%), найбільше – у столичного ТОВ «Євро-реконструкція» (на 49,7%). Серед найбільших підвищень також Новороздільська та Новояворівська ТЕЦ (обидві належать ТОВ «Нафтогаз Тепло»; ціни зростуть на 37,1% і 34,1% відповідно), Білоцерківська ТЕЦ (33,2%), а також дві когенераційні установки КП «Міськтепловодоенергія» (на 33,5% у Кам’янці-Подільському) і КП «Хмельницьктеплокомуненерго» (на 29,3%).
Читайте також: Як у Львові подати показники за воду, газ і світло, не виходячи з дому. Інструкція
Після підвищення середній тариф для постачання тепла населенню для цих 23 компаній становитиме 1121,71 грн/Гкал. Найвищий тариф буде у Сєвєродонецької ТЕЦ – 1471,54 грн/Гкал, найнижчий – у ТЕЦ-2 Есхар на Харківщини (653,99 грн/Гкал). Повний перелік:

Таке рішення пояснюють суттєвим зниженням обсягів виробництва теплової енергії, зростанням зарплати працівників цих установ, зростанням цін на паливно-енергетичні ресурси, зростанням витрат на послуги розподілу природного газу, а також збільшенням інших операційних витрат.
Нагадаємо, що ціна на природний газ у січні для населення в межах тарифу «Місячний» від НАК Нафтогаз становитиме 7,22 грн/куб. м з ПДВ, без вартості розподілу (доставки). У листопаді та груді цього року вона становила 6,45 грн за кубометр з ПДВ.
Коментарі
Поки що немає коментарів. Будьте першим, хто залишить свій відгук!
Читайте також
Контент
Рубрики
Розроблено:
Levprograming
За умови повного або часткового використання iнформацiї гіперпосилання на tvoemisto.tv є обов'язковим. Відповідальність за достовірність фактів, цитат, власних імен та інших відомостей несуть автори публікацій, а рекламної інформації — рекламодавці. Думка редакцiї може не збiгатися з думкою авторiв.
© 2026 "Твоє місто"




