
31 серпня 2017, 19:24
31 серпня 2017, 19:24
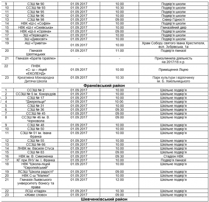
Більшість шкіл Львова проведуть Свято першого дзвоника на шкільних подвір’ях. Частина шкіл перенесе лінійку на спортивні майданчики, а декілька навчальних закладів проведуть перший дзвоник у церквах, що поблизу шкіл, повідомляє прес-служба ЛМР.
Читайте також: Чому я хочу залишити "День знань" у минулому
Нагадаємо, навчальний рік у школах Львова почнеться з уроку на тему: «Екологічна культура – шлях до сталого розвитку та енергонезалежності України». Вчителям шкіл та вихователям садочків пропонують відмовитися від квіткових подарунків на користь лікування онкохворих дітей.




Коментарі
Поки що немає коментарів. Будьте першим, хто залишить свій відгук!
Читайте також
Контент
Рубрики
Розроблено:
Levprograming
За умови повного або часткового використання iнформацiї гіперпосилання на tvoemisto.tv є обов'язковим. Відповідальність за достовірність фактів, цитат, власних імен та інших відомостей несуть автори публікацій, а рекламної інформації — рекламодавці. Думка редакцiї може не збiгатися з думкою авторiв.
© 2026 "Твоє місто"




